A Estimativa de Fase Quântica (QPE) é um dos algoritmos quânticos mais fundamentais, servindo como peça central para diversos outros algoritmos quânticos, incluindo o famoso algoritmo de Shor para fatoração e simulações quânticas. O QPE é a ponte que conecta operadores unitários com informação mensurável, permitindo-nos “ler” as fases dos autovetores - propriedades intrinsecamente quânticas que permanecem inacessíveis aos métodos clássicos.
Estimativa de Fase Quântica (QPE)#
AVISO: Para o entedimento completo do algorítmo de estimação de fase quântica é necessário conhecimento perante a Transformada Quântica de Fourier
O algoritmo opera em dois conjuntos de qubits, referidos neste contexto como registros. Os dois registros contêm \(n\) e \(m\) qubits, respectivamente. Seja \(U\) um operador unitário atuando no registro de \(m\) qubits.
Os autovalores de um operador unitário possuem módulo unitário e são, portanto, caracterizados por sua fase. Assim, se \(\ket{\psi}\) é um autovetor de \(U\), então:
para algum \(\theta \in \mathbb{R}\). Devido à periodicidade da exponencial complexa, podemos sempre assumir que \(0 \leq \theta < 1\).
Objetivo
O objetivo do algoritmo é produzir uma estimativa precisa para \(\theta\) utilizando um número reduzido de portas quânticas e mantendo alta probabilidade de sucesso. A estimativa de fase quântica alcança esse desempenho assumindo acesso oráculo a \(U\) e disponibilidade de \(\ket{\psi}\) como estado quântico. Esta abordagem permite que nos concentremos no número de aplicações de \(U\), sem precisar considerar o custo de implementação do operador em si.
O algoritmo retorna com alta probabilidade uma aproximação para \(\theta\) com erro aditivo \(\varepsilon\), utilizando \(\text{n} \space = O(log(\frac{1}{\varepsilon}))\) qubits no primeiro registro e \(O(\frac{1}{\varepsilon})\) operações controladas de \(U\). A probabilidade de sucesso pode ser melhorada para \(1 - \Delta\) para qualquer \(\Delta > 0\) através do uso de \(O(\frac{log(\frac{1}{\Delta})}{ε})\) aplicações de operações controladas por U, sendo este limite considerado ótimo para o algoritmo.
Algoritmo Quântico de Estimação de Fase (QPE)#
O Algoritmo Quântico de Estimação de Fase (QPE) é uma aplicação fundamental da Transformada Quântica de Fourier (QFT) que permite estimar o autovalor de um operador unitário.
Dado um operador unitário \(U\) e um autovetor \(\ket{\psi}\) tal que:
O QPE estima a fase \({ \phi \in [0,1) }\).
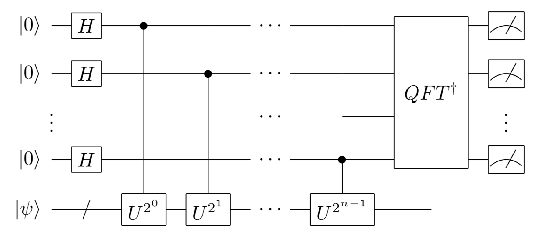
Circuito Quântico para o QPE#
O algoritmo quântico para a Estimação de Fase Quântica é implementado através de um circuito composto por portas Hadamard e operadores unitários. O procedimento para \(m\) qubits em \({\ket{0}}\) e \(n\) qubits é:
Procedimento:
Circuito
Notação expandida:

Observação: Nessa imagem notamos uma diferença de notação para o procedimento, em que: “\(m \space qubits\)” se tornaram “\(n \space qubits\)” e “\(IQFT\)” se tornou “\(QFT^\dagger\)”
Análise detalhada do algoritmo:
Estado inicial: \(\ket{0}^{\otimes m} \ket{v}\)
Aplicamos Hadamard nos qubits inicializados em \(\ket{0}\) (primeiro registrador):
Aplicação Controlada de U, Para cada qubit \(k\) da primeira register \(( k = 0, 1, ..., t-1 )\):
Aplicar porta U controlada \(2^k\) vezes:
Resultando em:
Aplicação a IQFT no primeiro registrador:
Complexidade
A complexidade do algoritmo é \({O(t^2 + t \cdot C_U)}\), em que \(C_U\) é custo de implementar \(U\)
Simulação do algorítimo de Estimação de Fase Quântica#
Para simular o algorítimo QPE usaremos a línguagem Ket de computação quântica, para isso precisamos ter ela instalada, caso não possua o pacote instalado rode o seguinte código:
pip install ket-lang
Com a biblioteca instalada, importa-se para ser usada dentro do seu código:
from ket import *
from math import pi
A Estimação de Fase Quântica (QPE) utiliza a \(IQFT\), portanto, é necessário a implementação da Transformada Quântica de Fourier (QFT), que já foi explicada anteriormente.
def qft(qubits, do_swap: bool = True):
if len(qubits) == 1:
H(qubits)
else:
*init, last = qubits
H(last)
for i, ctrl_qubit in enumerate(reversed(init)):
with control(ctrl_qubit):
P(pi / 2 ** (i + 1), last)
qft(init, do_swap=False)
if do_swap:
size = len(qubits)
for i in range(size // 2):
SWAP(qubits[i], qubits[size - i - 1])
Uma vez que a implementação da Transformada Quântica de Fourier foi feita, pode-se implementar o algorítmo de Estimação de Fase Quântica
def estimador_de_fase(oraculo, precisão: int) -> float:
assert precisão <= 20, "o tempo de computação pode ser muito grande"
p = Process(simulator="dense", num_qubits=precisão + 1)
ctr = H(p.alloc(precisão))
tgr = X(p.alloc())
for i, c in enumerate(ctr):
ctrl(c, oraculo)(i, tgr)
adj(qft)(ctr) # <- chada da transformada de Fourier quântica inversa
return measure(reversed(ctr)).value / 2**precisão
fase = pi
estimador_de_fase(
oraculo=lambda i, tgr: PHASE(2 * pi * (fase / 10) * 2**i, tgr),
precisão=18,
) * 10
---------------------------------------------------------------------------
NameError Traceback (most recent call last)
Cell In[4], line 16
11 return measure(reversed(ctr)).value / 2**precisão
14 fase = pi
---> 16 estimador_de_fase(
17 oraculo=lambda i, tgr: PHASE(2 * pi * (fase / 10) * 2**i, tgr),
18 precisão=18,
19 ) * 10
Cell In[4], line 7, in estimador_de_fase(oraculo, precisão)
5 tgr = X(p.alloc())
6 for i, c in enumerate(ctr):
----> 7 ctrl(c, oraculo)(i, tgr)
9 adj(qft)(ctr) # <- chada da transformada de Fourier quântica inversa
11 return measure(reversed(ctr)).value / 2**precisão
File /opt/hostedtoolcache/Python/3.10.20/x64/lib/python3.10/site-packages/ket/operations.py:238, in ctrl.<locals>.inner(*args, **kwargs)
235 @wraps(gate)
236 def inner(*args, **kwargs):
237 with control(control_qubits, state):
--> 238 return control_qubits, gate(*args, **kwargs)
Cell In[4], line 17, in <lambda>(i, tgr)
11 return measure(reversed(ctr)).value / 2**precisão
14 fase = pi
16 estimador_de_fase(
---> 17 oraculo=lambda i, tgr: PHASE(2 * pi * (fase / 10) * 2**i, tgr),
18 precisão=18,
19 ) * 10
NameError: name 'PHASE' is not defined